Үндсэн мэдээлэл
Бүсчилсэн хөгжлийн бодлого, зорилгыг хэрэгжүүлэхэд орон нутаг дахь боловсролын байгууллагууд чухал үүрэгтэй билээ. Тухайлбал Орхон аймаг хэд хэдэн их дээд, дунд мэргэжлийн сургууль, түүний салбар үйл ажиллагаа явуулж тэдгээрийн зохион байгуулалт, материаллаг баазыг сайжруулахад ихээхэн анхаарч байна. 2023 онд тус аймаг дахь Мэргэжлийн сургалт үйлдвэрлэлийн төв (МСҮТ) болон Хөдөө аж ахуйн МСҮТ-ийг нэгтгэж “Орхон” политехник коллеж болгон өргөжүүлж 1100 гаруй суралцагчтай болсон. Гэтэл тус коллежийн 2018 онд ашиглалтад орсон дотуур байр оюутнууд амьдрахад нэг хүндрэлтэйгээс гадна одоо баригдаж байгаа хичээлийн шинэ байрны барилгын ажил сунжирч байна. Түүнээс гадна олон жил гацсан сургуулийн зориулалттай өөр нэгэн барилгыг нураажээ.
Орхон аймгийн хөдөө аж ахуйн сургуулийн Мэргэжлийн сургалт үйлдвэрлэлийн төвийн хичээлийн байр /Орхон, Баян-Өндөр сум/
Захиалагч: Хөдөлмөр, нийгмийн хамгааллын яам
Барилгын ажил гүйцэтгэгч: 2013-2015 онд “Хасуу цамхаг” ХХК, 2020 оноос “Ньюсувагт констракшн” ХХК
Хөрөнгө оруулалт: Улсын төсөв.
Төсөвт өртөг (эхний): 2,161,637,867.00₮.
Төсөвт өртөг (эцсийн): 10,557,657,904.00 төг
Ажил эхлэх хугацаа (анхны): 2013.08.01.
Ашиглалтанд оруулах хугацаа (анхны): 2015.08.01.
Ажил эхлэх хугацаа (хоёрдахь): 2020.07.23.
Ашиглалтанд оруулах хугацаа (эцсийн): 2024.12.31.
Асуудал: Анх 2013 онд барилгын ажил эхэлсэн боловч одоо ч ашиглалтанд ороогүй байна.
Төлөвлөлт ба гүйцэтгэлийн түүх
2025 оны 2-р сар.
Энэ барилга 2024 оны 12-р сарын 31-нд ашиглалтанд орох ёстой байсан боловч дахин сунжирч энэ хугацааг албан ёсоор тав дахь удаагаа сунгах магадлалтай байна. Ажлын явцыг гаднаас харахад нэлээд хэдэн сар сунжрах төлөвтэй.




2023.12.28.
Барилга угсралтын ажил гүйцэтгэх гэрээнд дөрөв дэх удаагаа өөрчлөлт оруулав.
Барилгын хөгжлийн төвийн магадлалын дүгнэлт, Үндэсний аудитын газрын тушаал, мөн тус компанийн албан хүсэлтийг үндэслэн ашиглалтанд оруулах хугацааг 2024 оны 12-р сарын 31 болгон өөрчилснөөс гадна төсвийн санхүүжилтийг Монгол Улсын төсөвт батлагдсаны дагуу 5,643,557,904.0 нэмэгдүүлж нийт дүнг 10,557,657,904.00 төгрөг болгожээ. Захиалагчийг төлөөлж Боловсролын ерөнхий газрын Хөрөнгө оруулалтын хэрэгжилт, зохицуулалтын газрын дарга Ш.Алтангэрэл, “Нью сувагт констракшн” ХХК-ийн Б.Оюунсүрэн нар гарын үсэг зурсан.
2023.09.01.
Барилга угсралтын ажил гүйцэтгэх гэрээнд гурав дахь удаагаа өөрчлөлт оруулав.
Тус компанийн албан хүсэлтийг үндэслэн ашиглалтанд оруулах хугацааг 2023 оны 12-р сарын 31 болгож хойшлуулав. Боловсролын ерөнхий газрын дарга Т.Ням-Очир, “Нью суваг констракшн” ХХК-ийн захирал Б.Оюунсүрэн нар гарын үсэг зурсан байна.
2022.06.22.
Барилга угсралтын ажил гүйцэтгэх гэрээнд хоёр дахь удаагаа өөрчлөлт оруулав.
Орхон аймгийн Хөдөө аж ахуйн сургуулийн МСҮТ-ийн хичээлийн байрны барилга угсралтын ажил гүйцэтгэх гэрээнд нэмэлт өөрчлөлт оруулж Боловсролын ерөнхий газрын дарга Т.Ням-Очир, “Нью суваг констракшн” ХХК-ийн захирал Б.Оюунсүрэн нар гарын үсэг зурж баталгаажуулжээ. Үүнд, Барилгын хөгжлийн төвийн магадлалын дүгнэлт, тус компанийн албан хүсэлт зэргийг үндэслэн магадлагдсан төсөвт өртөг 4,914.1 сая төгрөгөөр буюу 315,021,876 төгрөгөөр нэмэгдүүлж 2022 оны 12-р сарын 31-нд ашиглалтанд оруулахаар болж сунгажээ. Барилга угсралтын ажлын явц 50 хувьтай байсан.
2021.09.15.
Захиалагч болон гүйцэтгэгч талууд ажил гүйцэтгэх гэрээнд өөрчлөлт оруулж ашиглалтанд оруулах хугацааг 2021.12.31 өдөр болгон хойшлуулав.
2020.07.23.
Хөдөлмөр, нийгмийн хамгааллын яам “ Нью сувагт констракшн ” ХХК-тай Орхон аймгийн Хөдөө аж ахуйн сургуулийн МСҮТ-ийн хичээлийн байрны барилга угсралтын ажлыг гүйцэтгэх 4,599,078,124₮ (Дөрвөн тэрбум таван зуун ерэн есөн сая далан найман мянга нэг зуун хорин дөрвөн төгрөг)-ийн үнийн дүн бүхий гэрээг байгуулав. Ажил эхлэх хугацааг 2020.07.23, дуусах хугацааг 2020.12.15 гэж заажээ.
2020.08.10. ????
Тендер шалгаруулалтын дүн зарлахадад “Нью сувагт констракшн” ХХК (РД: 5496075) 4,599,078,124 төгрөгийн саналаар шалгарав.
Холбоос: https://www.tender.gov.mn/mn/result/detail/1589308255830
2020.05.13
Хөдөө аж ахуйн их сургуулийн Мэргэжлийн сургалт үйлдвэрлэлийн төвийн хичээлийн байр /Орхон, Баян-Өндөр/-ны тендер сонгон шалгаруулалт зарлажээ. Төсөвт өртөг: 4,909,700,000 ₮
Холбоос: https://www.tender.gov.mn/mn/invitation/detail/1589308255830
2015.06.12.
Орхон аймгийн ХАА-н МСҮТ-ийн хичээлийн дуусаагүй барилгын талбай болон гүйцэтгэсэн ажлыг хүлээн авах арга хэмжээ Хөдөлмөрийн яаманд болжээ.
2015.06.09.
“Хасуу цамхаг” ХХК барилга угсралтын ажлыг үргэлжлүүлэхээс татгалзсан албан бичгийг Хөдөлмөрийн яаманд ирүүлж “Тус барилгын батлагдсан төсөв нь 2009 оны өртөгөөр тооцоолсон байсан нь цаашид ажил гүйцэтгэхэд хүндрэлтэй, төсөвт өртөг нь хүрэлцэхгүй болсоноор гэрээгээ цуцалж, Монгол улсад мөрдөгдөж байгаа норм, дүрэм, журмын дагуу тооцон хүлээлгэж өгөх санал (7 хуудас бүхий хавсралттай) тавьжээ.
2014.04.22.
Барилгын ажлын явц хангалтгүй байсан тул Хөдөлмөрийн яамнаас “Хасуу цамхаг” компанид №3 / 935 тоот албан бичиг явуулж ажлын гүйцэтгэлээр 300.0 сая төгрөг, 2014 оны 2-р сард 780,0 сая төгрөгийг тус компанид шилжүүлснийг дурьдаад ,барилга угсралтын ажлын календарчилсан төлөвлөгөөг яаманд ирүүлж, барилга угсралтын ажлыг яаралтай эхлүүлэхийг анхааруулжээ.
2013.05.23.
Хөдөлмөрийн Яамнаас “Хасуу цамхаг” ХХК (регистрийн дугаар 5215471) -тай Орхон аймгийн ХААИС-ийн МСҮТ-ийн хичээлийн байр барих барилгын ажлыг гүйцэтгэх 2,161,637,867₮ (Хоёр тэрбум нэг зуун жаран нэгэн сая зургаан зуун гучин долоон мянга найман зуун наян долоон төгрөг)-ийн үнийн дүн бүхий ХААГ-А-2013/ХХҮ11-04/34 ТООТ гэрээ байгуулав. Үүнд ажил эхлэх хугацааг 2013.08.01, дуусах хугацааг 2015.08.01 байхаар заажээ.
2013 (сар, өдөр тодорхойгүй)
Тендер шалгаруулалтын дүнг зарласан боловч тодорхой мэдээлэл алга, хуудас нь хоосон байна.
https://www.tender.gov.mn/mn/invitation/detail/1454664728746
2013.02.28.
ХААИС-ийн МСҮТ-ийн хичээлийн байр барих барилга угсралтын ажлын тендер сонгон шалгаруулалтын ХААГ-А-2013/XXYII-04 дугаартай зар нийтлэгджээ.
(Эх сурвалж: http://spa.gov.mn/tenders?page=160) – нээгдэхгүй байна.
Орхон аймгийн МСҮТ-ийн дотуур байрны барилга
Захиалагч: Хөдөлмөр Нийгэм Хамгааллын яам
Барилгын ажлын гүйцэтгэгч: “Ган зосон констракшин” ХХК
Зураг төсөл зохиогч: ”Асгат өргөө “ХХК
Хөрөнгө оруулалт: Улсын төсөв
Төсөвт өртөг (анхны): 2,134,523,137 төгрөг
Төсөвт өртөг (эцсийн): 3,473,000,000.000 төгрөг
Ажил эхлэх хугацаа: 2015.04.15.
Ашиглалтанд оруулах хугацаа: 2016.12.25.
Ашиглалтанд оруулсан: 2018 оны 7-р сар
Асуудал: Уг барилгыг 2018 онд ашиглалтанд оруулсан боловч барилгын чанартай холбоотой маш олон доголдол илэрч өнөөдөр 200 гаруй суралцагчийн тав тухтай амьдрах эрх хангагдахгүй байна гэсэн шүүмжлэл тасрахгүй байна.
Төлөвлөлт ба гүйцэтгэлийн түүх
2020.10.13.
Орхон аймгийн мэргэжлийн сургалт үйлдвэрлэлийн төвийн захирал Н.Төгсбаатараас Хөдөлмөр, нийгмийн хамгааллын яамны хөрөнгө оруулалтын газрын дарга Д.Чинзоригт хандаж тус сургуулийн оюутны дотуур байр нь 2018 оны 07 сард ашиглалтад орсон бөгөөд ашиглалтын явцад барилгын хийц, барилгын материалын чанар шаардлага хангахгүй, зориулалтын бус материалаар хийгдсэн байснаас үүдэлтэй цахилгааны гэмтэл, ус алдах, дээврийн дулаан алдаль болон бороо, цасны ус гоожих зэргээс үүдэлтэй мөөгөнцөр их хэмжээгээр үүссэн. 2020 оны 02 дугаар сарын 12-ны Орхон аймгийн Мэргэжлийн хяналтын газрын улсын байцаагчийн дүгнэлтээр засварлах шаардлагатай гэсэн дүгнэлт гарч “Ган зосон” ХХК-д тухай бүр албан мэдэгдэл хүргүүлж байсан ч өнөөг хүртэл хэвээр байна. Барилгын тухай хуулинд барилга байгууламжийн гадна, дотор засал бүх төрлийн материал, үндсэн хийц, бүтээц, цэвэр бохир ус, уур, хий, дулаан цахилгаан, харилцаа холбооны тоног төхөөрөмж, тоноглолын хэвийн ашиглалтын хугацаа гурваас доошгүй жил байна гэж заасан. Иймд энэ хугацаа 2021 оны 07 сард дуусах тул энэ асуудлыг уламжлан шийдвэрлүүлж өгөхийг хүсье гэжээ.
2020 он
Ганзосон констракшн ХХК-ийн цахим сайтын “Бидний бүтээн байгуулалтууд” цэсэнд Орхон аймгийн МСҮТ-ийн дотуур байрны зургийг дараах байдлаар оруулжээ.

Холбоос: https://ganzoson.github.io/
2020.02.12.
Орхон аймгийн МСҮТ-ийн дотуур байрны барилгыг засварлах шаардлагатай гэсэн дүгнэлтийг тус аймгийн мэргэжлийн хяналтын газрын улсын байцаагч гаргажээ.
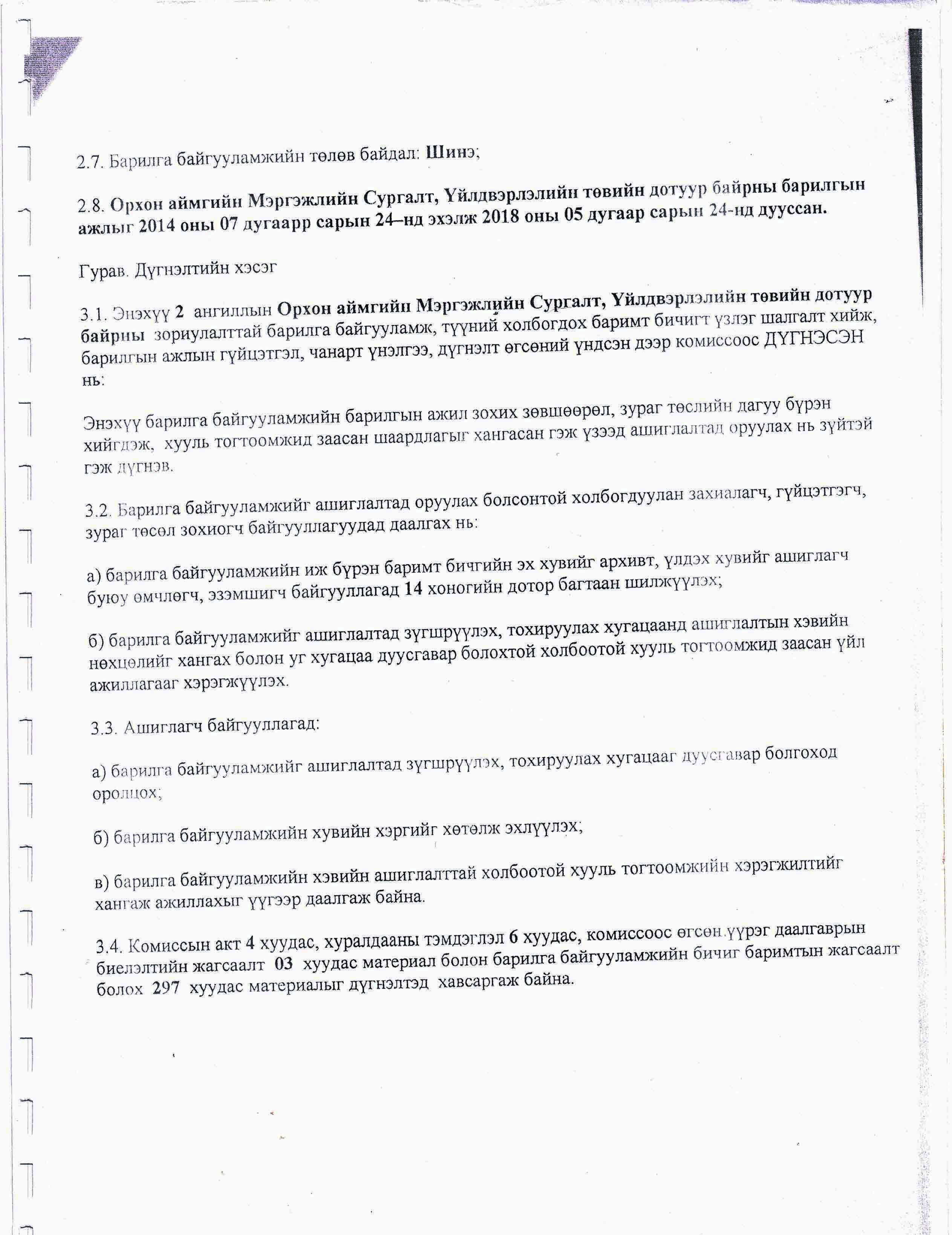
2018.07.
МСҮТ-ийн дотуур байрны барилгыг ашиглалтад оруулж хүлээн авчээ.
2018.06.20.
МСҮТ-ийн дотуур байрны барилга болон газар доорхи инженерийн байгууламжийн тоон зургийг Орхон аймгийн газрын харилцаа, барилга, хот байгуулалтын газрын кадастрын мэдээллийн санд актаар хүлээн авчээ.
2018.06.18.
Барилга байгууламжийн ашиглалтад оруулах комиссын дүгнэлт 18/25 тоот дүгнэлт гарчээ.
Орхон аймгийн засаг даргын 2017оны 07 сарын 27-ны А/453дугаар шийдвэрээр байгуулагдсан 22 хүний бүрэлдэхүүнтэй барилга байгууламжийг ашиглалтад оруулах комисс 2018оны 05 сарын 24-ны өдрөөс эхлэн 1 хоногийн хугацаанд ажиллан тухайн барилга байгууламж, түүний холбогдох баримт бичигт үзлэг шалгалт хийгээд энэхүү барилга байгууламжийн барилгын ажил зохих зөвшөөрөл, зураг төслийн дагуу бүрэн хийгдэж, хууль тогтоомжид заасан шаардлагыг хангасан гэж үзээд ашиглалтад оруулах нь зүйтэй гэж дүгнэв.
Дүгнэлтийн баталгаажуулалт :
Дарга : С.Батжаргал, Аймгийн Засаг даргын орлогч
Нарийн бичгийн дарга: А.Сайнсанаа, АЗДТГ-ын ХОХБТХ-ийн мэргэжилтэн
Гишүүд: Б.Мөнхдалай, Аймгийн Ерөнхий Архитектор
Гишүүд: С.Нансалмаа, ХОХБТХ-ийн мэргэжилтэн
Гишүүд: Д.Сүхбат, МХГ-ын БОГУУХ-ын мэргэжилтэн
Гишүүд: Д.Жаргал, МХГ-ын ОЭАХ-ын улсын ахлах байцаагч
Гишүүд: Н.Азхүү, МХГ-ын БТХ-ын улсын байцаагч
Гишүүд: Б.Одбаатар, ГХБХБГ-ын БХБХэлтсийн дарга
Гишүүд: Х.Баатарзориг, ОБГ-ын хяналтын улсын байцаагч
Гишүүд: Ч.Мягмарсүрэн, Эрдэнэт Ус ДТС ОНӨХК-ийн ерөнхий инженер
Гишүүд: Д.Мөнх-Эрдэнэ, Эрдэнэт Булганы ЦТС ТӨХК-ийн ерөнхий инженер
Гишүүд: Ц.Зориг, МХС ТӨХК-ийн ерөнхий инженер
Гишүүд: Д.Оюун, “Асгат-өргөө”ХХК-ийн захирал зураг зохиогч
Гишүүд: Г.Анар, ХНХЯ-ны ХОҮХ-ийн дарга
Гишүүд: Б.Одгэрэл, ХЗА-ны ахлах мэргэжилтэн
Гишүүд: Д.Батсайхан, ХНХЯ-ны ХШҮДАГ-ын хяналтын инженер
Гишүүд: Д.Одгэрэл, МБХЭЭХ-ны Орхон аймаг дахь салбар
Гишүүд : Н.Төгсбаатар, Орхон аймгийн МСҮТ-ийн захирал
Гишүүд: Д.Ганзорг, ”ГанзосонКонстракшн”ХХК-ийн захирал
Гишүүд: Г.Төмөрбаатар, ”Ганзосон Констракшн”-йнн инженер)
Гишүүд : М.Мөнхбаяр, Архивын тасгийн дарга)
ыйыйЫЙ
2018.05.19.
МСҮТ-ийн барилгын зураг төслийн хийсэн “Асгат өргөө” ХХК-иас (инженер Ц.Цэгмид) зохиогчийн хяналт хийж барилга угсралт, засварын үе шатны явц чанар байдлын талаар дүгнэлт гаргав. Үүнд, барилга угсралтын ажил дуусан,мөн нэмэлт бэхэлгээний ажил дууссан, бэхэлгээний зураг эскезийн дагуу бэхэлгээ хийхдээ өмнөх дүгнэлтэд заасан хэсгүүдийн ажлыг орхигдуулсан байсныг засаж зургийн дагуу хийсэн, гүйцэтгэгч байгууллагатай зөвшилцөж зарим бэхэлгээний байрлалыг газар дээр нь тохируулж өөрчлүүлж хийв, барилга байгууламжийн угсралт /засварын /ажлын явцад орхигдуулсан цутгамал дам нуруу/хаварга/-г металл дам нуруу нэмж бэхлэх эскиз гаргаж өгсний дагуу хийсэн, бэхэлгээний дам нурууг угсрах явцад гарсан зарим /сунгах нарийвч залгах/дутагдлыг засаж гүйцээж хийсэн байна гэжээ.
2018.06.18.
Барилга байгууламж ашиглалтад оруулах комиссын 18/25 тоот дүгнэлтээр ашиглалтанд хүлээн авчээ. Гэтэл комисс барилгыг хүлээн авахаас татгалзсан тул гишүүд бүртэй хувьчлан уулзаж гарын үсэг зуруулаад дүгнэлтийн хуулбарыг үүдэнд үлдээгээд явсан байсныг сургуулийн удирдлага дараа нь олж авсан тухай мэдээлэл байна.
2017.12.20.
МСҮТ-ийн дотуур байрны барилга угсралтын ажлын захиалагч ХНХЯ-ны хяналтын инженер, зөвлөх инженер Д.Батсайханы гарын үсэгтэй нэгдсэн тайланд “Барилга угсралтын ажлыг 100 хувь хийж гүйцэтгэн дууссан байна. Улсын комисс ажиллуулах боломжтой гэж үзэж байна” гэж дүгнэсэн байна. Мөн барилгын төсөвт өртөг 3,473.0 сая төгрөг, ажлын 10 гүйцэтгэл авч баталгаажуулсан, үлдэгдэл санхүүжилт 100 сая төгрөг хэмээн дурджээ.
2017.12.08.
МСҮТ-ийн барилга байгууламжийг ашиглалтад оруулах урьдчилсан үзлэг хийж акт гаргав. 12 хүнтэй комисс ажиллаж МСҮТ-ийн барилга байгууламжийг 2014.07.23-нд барьж эхэлсэн ба 2017.12.08-ны өдөр барьж дууссаныг тэмдэглээд урьдчилсан үзлэгээр өгөгдсөн үүрэг даалгавар биелэгдсэн тохиолдолд улсын комисс ажиллуулахаар шийдвэрлэжээ.
2017.12.08.
МСҮТ-ийн оюутны дотуур байрыг ашиглалтанд оруулах техникийн комисс хуралдаж “Комиссоос өгсөн үүрэг даалгавар болон бичиг баримтыг бүрдүүлж ашиглалтанд оруулахаар шийдвэрлэв” гэсэн байна.
2017.11.06.
МСҮТ-ийн дотуур байрыг цахилгаан эрчим хүчээр хангах техникийн нөхцөлийг “Эрдэнэт”Булганы цахилгаан түгээх сүлжээ” ТӨХК-иас олгожээ.
2017.07.14.
МСҮТ-ийн захирал М.Төгсбаатарын хүсэлтээр барилгын зарим өрөөний зохион байгуулалтыг өөрчлөх хүсэлтийг зураг төсөл зохиогч “Асгат өргөө” ХХК ба гүйцэтгэгч Ган зосон констракшн” ХХК хэлэлцээд зөвшөөрч тэмдэглэл үйлджээ.
2016.
Орхигдсон ажлын төсөвт магадлалын дүгнэлт гаргуулсны дараа 252.600.000₮ төгрөгийг олгожээ. Энэ хооронд гэрээнд нэмэлт өөрчлөлт оруулснаар санхүүжилтыг нэмэгдүүлж нийт төсөвт өртөг 3,473,000,000.00 ₮ болов.
2015 он
“Ган зосон констракшн” ХХК-д 561.800.000 төгрөгийн санхүүжилтийг олгосон байна
2015.ХХ.ХХ
Барилгын ажил гүйцэтгэх гэрээ байгуулав. Уг гэрээнд 2015.04.15-нд барилгын ажлыг эхлүүлж 2016.12.25-ны өдөр ашиглалтанд хүлээлгэн өгөхөөр заасан байна.
2014.07.23.
МСҮТ-ийн барилгын ажил эхэлсэн тухай мэдээлэв.
2014.04.07.
Энэ өдөр Орхон аймгийн МСҮТ-ийн дотуур байрны барилгын ажлын гүйцэтгэгчийн тендер шалгаруулалтын дүнг зарласан боловч Худалдан авах ажиллагааны сайтад шалгарсан компанийн нэр алга
Холбоос: https://user.tender.gov.mn/mr/result/detail/1454664729956
Харин Ганзосон констракшн ХХК-ийн тендерийн жагсаалтанд энэ барилгыг нэрлэсэн байна. Улсын төсвийн 2,247,200,000 ₮ төгрөгийн хөрөнгө оруулалттай энэ барилгын тендерт тус компани 2,134,523,137 төгрөгийн саналаар шалгарсан байна.
Холбоос: https://user.tender.gov.mn/mn/bidder/entity/1462246992498
2013.02.28.
Орхон аймаг дахь МСҮТ-ийн дотуур байрны барилгын ажил гүйцэтгэгчийн тендер шалгаруулалтыг зарласан Засгийн газрын хэрэгжүүлэгч агентлаг Худалдан авах ажилллагааны газрын зар нийтлэгджээ. Харин төсөвт өртгийг дурдаагүй байна. Тендер шалгаруулалтын дугаар: ХААГ-А-2013/XXYII-5.
Холбоос: https://dev.procurement.gov.mn/tender/inv/217
Орхон аймгийн 14-р сургуулийн өргөтгөлийн барилга
Тус сургууль 2001 онд уулын баяжуулах “Эрдэнэт” үйлдвэрийн хөрөнгө оруулалтаар 14-р сургууль ашиглалтанд ороход нэг барилга нь гурван давхар каркас босоод (холболтын хэсэг буруу хийгдсэн зэрэг шалтгаанаар) зогсчээ. Өнгөрсөн 20 гаруй жилийн хугацаанд барилгын суурь болон бетон цутгамал шон,дээвэр гээд бүх биетүүд эвдэрч, сийрэгжин элэгдэлд орсон тул сэргээх боломжгүй гээд үзээд 2025 оны нэгдүгээр сард нураажээ. Зардлыг орон нутгийн төсвөөс гаргасан байна.








Энэхүү Мониторингийн мэдээлэл цуглуулах ажлыг “Эрдэнэт хүмүүний эв нэгдэл” ТББ-ын тэргүүн Б.Батцэцэг хийж гүйцэтгэв






















